内蒙古自治区普通高考综合改革
政策解读(二)
6.普通高中学业水平考试是什么?
答:普通高中学业水平考试是根据国家普通高中课程标准和教育考试规定,由自治区级教育行政部门组织实施的考试,分为合格性考试和选择性考试。合格性考试成绩作为普通高中学生毕业以及高中同等学力认定的依据。普通高中在校学生应在相应科目成绩“合格”的基础上方可报考选择性考试科目。选择性考试成绩计入高考总成绩。
7.合格性考试包括哪些科目?
合格性考试包括语文、数学、外语、思想政治、历史、地理、物理、化学、生物学、信息技术、通用技术、艺术(音乐、美术)、体育与健康等13门科目。普通高中在校学生均须参加合格性考试,中等职业学校学生和社会人员也可参加。考试成绩以“合格、不合格”呈现。合格性考试范围为各门科目课程标准确定的必修内容。
8.合格性考试如何组织?
答:合格性考试共13门科目,其中,语文、数学、外语、思想政治、历史、地理、物理、化学、生物学等9门科目由自治区统一组织命题、考试、阅卷、公布成绩和划定合格标准;体育与健康、艺术(音乐、美术)、通用技术、信息技术等4门科目及物理、化学、生物学、通用技术科目的实验技能操作测试,由自治区统一制定考试要求,各盟(市)组织实施。合格性考试按照教学进度分别安排在上下学期末。普通高中在校生首次参加考试不得早于高一下学期末,高一年级最多允许考4门,高三上学期结束前须完成全部13门科目的合格性考试。
9.选择性考试包括哪些科目?
答:选择性考试共6门科目,包括思想政治、历史、地理、物理、化学、生物学。参加普通高考的学生均应参加选择性考试。学生根据自身兴趣特长及拟报考高校招生专业对选择性考试科目的要求,在6门科目中选择3门参加考试。其中,历史或物理科目为首选科目,考生必须且只能选择其中1门参加考试;思想政治、地理、化学、生物学4门科目为再选科目,考生从中任选且只能选择其中2门科目参加考试。选择性考试范围为各门科目课程标准确定的必修内容和选择性必修内容。选择性考试与全国统一高考的语文、数学、外语同期进行。
10.选择性考试科目选择组合有哪些?
答:选择性考试科目有12种组合,具体如下:

11.选择性考试科目什么时候确定?
答:选择性考试科目由学生在相应科目合格性考试结束后即可选择,在高考报名时最终确定。高考报名前可以更换所选择的科目,高考报名结束后不可更改。学生选科时要综合考虑各种因素,征求家长、老师的意见,慎重考虑、科学选择。
12.选择性考试如何组织?
答:选择性考试由自治区统一命题、考试、阅卷和评定成绩。选择性考试从2025年起每年组织1次,与统一高考同期举行,普通高中在校生仅限高三年级学生参加。
13. 为什么物理和历史按卷面原始分计入考生高考总成绩?
为什么思想政治、地理、化学、生物学考试成绩要使用等级转换分数?
答:我区《实施方案》确定,自2025年起,普通高等学校统一考试招生分别按物理科目组合和历史科目组合分列招生计划、分别划定最低录取控制分数线、分别进行排队录取。选择物理(或历史)的考生将使用同一试卷,考试群体相同,成绩具有可比性,因此这两科分别使用卷面原始分计入考生总成绩。
由于再选科目中不同科目试题难度差异和报考相应学科的考生群体不同,考生选考科目的卷面原始分不具有可比性。如,考生甲选考思想政治,考生乙选考化学,两人都考了80分,考生甲排在所有选考思想政治考生的第100位,考生乙排在所有选考化学考生的第1000位。若简单将他们各科成绩相加计入考生总成绩并进行比较,既不科学也不公平。因此,需要将不同科目的卷面原始分,按照一定规则转换成等级转换分数计入考生总成绩。转换后,考生的成绩排序不变,同时可实现不同科目成绩的可比性。
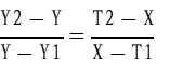
14.等级转换分数是如何转换的?
答:成绩转换按照等比例转换公式进行转换,这是已实行高考综合改革的省区通行做法。具体公式为:

其中,
Y1、Y2分别表示某个等级所对应卷面原始分区间的下限和上限;
T1、T2分别表示相应等级的等级分赋分区间的下限和上限;
Y表示相应等级内某考生的卷面原始分;
X表示相应等级内某考生的等级转换分数。
根据此公式,即可算出每个考生的等级转换分数。
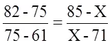
可以举例说明,假设某同学思想政治学科卷面原始分为75分,该学科B等级的卷面原始分分布区间为82~61,则该同学思想政治学科的卷面原始分属B等级。而B等级的转换分数区间为85~71,那么该同学思想政治学科的转换分为:

解得,X≈80.33,四舍五入后该同学思想政治学科赋分成绩为80分。
转换示意图:

转自|包头青山区教育局
供稿|教务处
一审|任宏利
二审|边永亮
三审|张雪峰
评论
还能输入140字
用户评论
经过核实,本空间由于存在敏感词或非法违规信息或不安全代码或被其他用户举报,
已被管理员(或客服)锁定。
本空间现无法正常访问,也无法进行任何操作。
如需解锁请联系当地教育技术部门,由当地教育技术部门联系锁定人处理。
当前机构空间已被管理员(或客服)封锁。
目前机构空间无法正常访问,也无法进行任何操作。
如需重新开放,请联系当地教育技术部门,由当地教育技术部门联系管理员(或客服)处理。